自宅からオフィスへ向かう730歩の間に犬のウンコを踏みつけた。
赤坂の閑静な住宅街の通りであり、過ぎゆく人たちも皆優雅な様子なので油断をしていたのだろう。隣の板橋さんは、うん(運)を踏んで縁起が良いなどと完全に他人事であり無性に腹が立った。
なので、今回はフェルミ推定で私と同じ運命にあっている人の数を推定してみたいと思う。(何回もウンコと書くのは文章を汚してしまうので、これからは運と書くことにする)
前提条件
私がこれから計算するのは、日本で1日に犬の運を踏んだとても幸運な人の数である。実際にこの数を調べようとしてGoogleなどを検索しても、その数は出てこない。そこで今回はフェルミ推定を用いて、幸運な人の数を計算する。
フェルミ推定と言えば、物理学者であるエンリコ・フェルミに由来する推論の手法である。この手法は、実際に調査することが難しいような量を論理的に推論し、概算することができる方法として一般的に知られている。
計算の方針について
人数を計算する方法としては様々な切り口が考えられるが、今回は運を踏んだ人数を次のような数式で簡単に定義する。
運を踏んだ人数 = 日本の人口 × 道で運を踏む確率
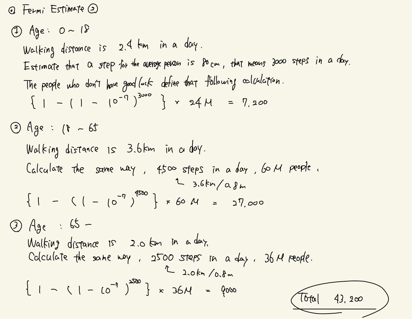
道で運を踏む確率は、外を出歩く距離などと相関関係がありそうだ。そのため、日本の人口を考慮する際に、歩く距離が変わりそうな0~18歳のグループ、18~65歳のグループ、65歳以上のグループに分けて考えよう。
また、道で運を踏む確率については、道における運の占有率を単純にその確率と定義する。なので、日本における道の面積、また1日あたりの運の数を計算したほうが良さそうだ。
グループ毎に歩く距離を計算
先程3つのグループに分けたのは、日常の行動パターンが大きく変わると考えたからである。0~18歳のグループにおいては、学校に通っているケースを想定。18~65歳のグループにおいては、会社へ勤務していることを想定。65歳以上のグループにおいては、朝に散歩をしていることを想定している。
それぞれの人数構成については、少子高齢化社会を想定して決定する。最近調べている際に、「高齢者の割合が30%を超えている」といったコメントをみた記憶があるため、その数値を用いて、それぞれのグループの人数比は20%、50%、30%と定義した。そのため、日本の人口を1.2億人(計算のしやすさを考慮している)とした場合にはそれぞれのグループは、2400万人、6000万人、3600万人となる。
0~18歳のグループにおいては、学校に徒歩で通学していると考え、平均で15分程度かかると想定した。そのため、1日に歩く距離は以下のように計算できる。
15(分) × 80 m (人が1分間に歩く速度) × 2 (往復の分) = 2.4 km
同様に他の2グループについても求めると、それぞれ3.6km、2kmとなった(別紙参照)。
道における運の占有率を計算
占有率を求めるには、運が広がっている面積を道全体の面積で割ることで求められそうだ。そのため、まずは日本の道の面積を計算する。
日本の国土面積は約38万km2であるという知識と、国土に占める森林の割合は67%であるという知識から、日本国土に占める道の面積はおおよそ10%だろうと見当をつけた。また、道と言っても車道と歩道があり、その割合は車道:歩道 = 9:1と考えると、歩道は約380km2であると計算することができた。
また運が広がっている面積は、1日に運が落とされる回数から計算できる。なので、まずは日本国内の犬の数から計算する。
日本の人口と1世帯あたりの人数が3人程度であるとの仮説から、日本の世帯数を4000万世帯だと仮定する。その内の20%が犬を1匹飼っているとすると、日本の犬の数はおおよそ800万匹と計算できる。
また、犬が運を落とすタイミングを散歩のタイミングであると想定すると、1日に1回の散歩のタイミングで運を落としたとして、1日に800万個の運が道に落とされる計算となる。しかし、善良の飼い主が運を拾って持ち帰るため、その内の99%は回収されるであろう。そのため、1日に落とされる運は8万個と計算できた。
運が広がっている面積は運の数×運の大きさ(面積)で計算できる。運の大きさを5cm2と仮定すると、運が広がっている面積は40万cm2となる。
以上より、道における運の占有率は40万cm2/380km2より10^-7と計算できた。
グループ毎に運を踏む人数を計算
最後にグループ毎に運を踏む人数を計算してゆく。
まず0~18歳のグループの場合、2.4km歩き回る計算だった。この時、1歩で進む距離を80cmと仮定すると、1日当たり3000歩、道の上を歩いている計算となる。先程計算した運を踏む確率を1歩ごとに計算することで、運を踏む人数を計算する。
1 ー (1 ー 10 ^ -8) ^ 3,000(歩) × 2,400(万人) = 7,200人
同様の計算を他のグループでも実施する。
1 ー (1 ー 10 ^ -8) ^ 4,500(歩) × 6,000(万人) = 27,000人
1 ー (1 ー 10 ^ -8) ^ 2,500(歩) × 3,600(万人) = 9,000人
よって、日本全体では43,200人が運を踏んでいる計算となった。
おわりに
今回は、自分が道端で運を踏みつけたことから、日本全国で運を踏んだ人の数をフェルミ推定により調査した。黙々と運について考え、計算することで腹の中は無事収まった。
日本の人口は1億人いるため、運を踏んだ割合としてはおよそ2500人に1人であるとも考えることができる。2500分の1の確率というのは、宝くじで言えば2万円相当の珍しさであり、なかなかお目にかかれない。
そう考えると、板橋さんが言っていた運がある、というセリフも案外間違っていないのかもしれない。
以下に自分が計算のために書いたメモを共有する。