2017年ゲーム業界で話題となっている「Webゲーム」
2017年、Yahooのゲームプラス、Facebookのインスタントゲームス、楽天のRakutenGames、株式会社バンダイナムコエンターテインメントと株式会社ドリコムの新会社BXDの発表など、Webゲームの話題がゲーム業界を賑わせています。数年前に流行したソシャゲーと呼ばれるゲームもWebゲームでしたが、なぜ今年になってまた脚光を浴びる事になったのでしょうか。
過去となったイメージが強いWebゲーム
Webゲームというと、ゲーム業界の中ではソシャゲーを代表とする「過去」のイメージが強く、関心が絶たれてしまった感がありますが、前述したようにまだ多くの業界関係者が関心をもちチャレンジを続けています。2000年初頭、殆どの人がいずれWebでゲームをする時代が来ると考えていましたし、その可能性は今でも変わっていません。おそらく問題は、その時代がいつ来るのか?という事です。
UnityならWebゲームも簡単ビルド!という勘違い
もう一方で、Webゲームが関心を持たれなくなってきている原因として、Unityの存在があります。Unity5.3からWebGLエクスポートのサポートを開始しましたが、実際エクスポートした方はご存知かと思いますが、パフォーマンスが極めて悪く、ネイティブアプリゲームのレベルでもスムーズに動かず、しかもモバイルにおいてはUnityWebGLはサポートしていません。モバイルがゲームのメインデバイスである現在において、モバイルのサポートが無いのは致命的です。
Webゲームの強み
Webゲームの最大の強みは、Webを表示する事ができれば、どこでも遊べるという点です。モバイルやPCなどデバイスは関係なくブラウザがあればもちろんプレイ出来ます。ネイティブアプリ内でもWeb表示機能がある、例えばメッセージアプリであるLINE内でもプレー出来ますし、Facebookメッセンジャーのインスタントゲームはまさにそれにあたります。友達から送られたURLをクリックすれば、ダウンロード無しですぐプレイ出来ます。その他にもWebゲームには多くの強みがあります。
- アップデートを時間を掛けずに容易にできる
- ダウンロードの必要が無い
- プロモーションとの連携が容易
- ゲーム間の連携が容易
など…
最終的にはゲームの内容なのだが…
しかしユーザー視点からすると、どのソフト・アプリ上で遊んでいるかは結局のところ関係がなく、ゲームが面白いか面白くないかにつきます。そこで大きな問題となるのが、ネイティブアプリに比べWebゲームはパフォーマンスが落ちるという事です。特にゲームのクオリティを左右するアニメーションやエフェクトのパフォーマンスが悪いのは致命的です。
ネイティブ並みのパフォーマンス SpearJS
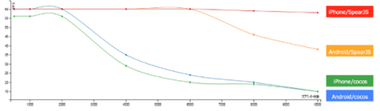
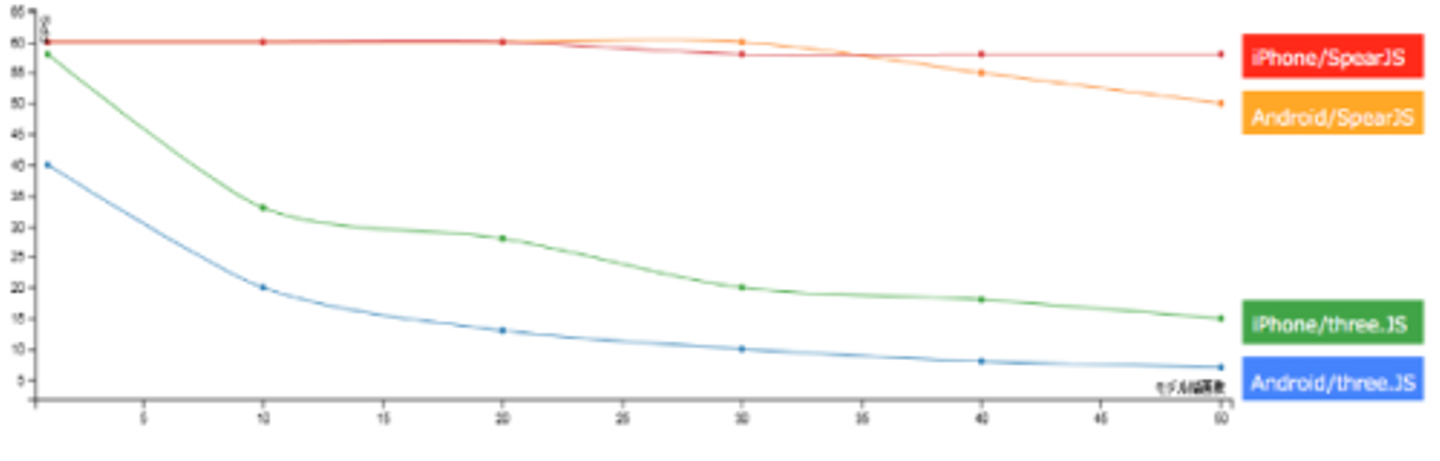
このパフォーマンス問題を解決するためのゲームエンジンがSpearJSです。SpearJSはWebにおけるパフォーマンス向上に特化したエンジンで、特に描画に関してUnityWebGLのパフォーマンスは比べ物にならならず、同じくWebGLのエンジンthree.jsと比べても3倍近く速いパフォーマンスを実現しています。そのため、ネイティブと全く遜色の無いゲームを開発する事ができます。
【比較項目】 モデル描画数(横軸) × FPS(縦軸)
【比較項目】 スプライト枚数(横軸) × FPS(縦軸)
SpearJSは、YahooゲームプラスにおけるWebゲーム開発エンジンとして推奨されています。今後ゲームを開発する上でひとつのオプションとなり、現在業界を賑わせているWebゲームのゲームエンジンをリードする存在としてメインストリームへと成長しました。
SpearJSは、現在Yahooゲームプラスへの配信をされる開発会社様に対して無償で提供しておりますので、ご興味のある方はお気軽にお問い合わせください。
/assets/images/428506/original/e8ef4165-10dc-4ba2-8451-325890a1e09b.png?1466058532)