こんにちは。
取締役兼別府支社長の平塚です。
2026年1月21日(水)、大分県立情報科学高等学校にて、デジタル創造科1年生を対象とした特別授業「デジキャリ」を実施しました。
今回は、未来を担う高校生と向き合った熱い一日の様子をお届けします。
目次
1. ご縁から始まった特別授業
2. 先生方と共に創り上げた授業設計
3. 稼ぐ力と機関車マインド
4. コードを書かないプログラミング体験
5. 学校の課題を見つけ出す
6. ITで解決策を設計する
7. 成果発表から見えた、高校生の本気
8. 「また授業をしてほしい」という言葉を胸に
1. ご縁から始まった特別授業
情報科学高校では、工業・商業・情報の各学科の特色を生かし、1年生の12月から1月にかけて、キャリア教育と専門学科の学びを結び付ける特別講座を実施しています。
今回の特別授業を推進してくださったのは、大分県立情報科学高等学校 デジタル創造科主任(情報科主任)教諭の藤並敬大先生です。
藤並先生とは、昨年8月頃、西新宿のVitalize本社で初めてお会いしました。
「高卒で就職を希望する生徒たちのために、企業との情報交換の機会を設け、進路の選択肢を広げたい」という想いを伺い、意見交換をさせていただいたことが、今回の取り組みのきっかけです。
そして今回、「ぜひVitalizeで特別授業を」とお声がけをいただき、実施する運びとなりました。
2. 先生方と共に創り上げた授業設計
今回の授業は、既存のプログラムを持ち込んだわけではありません。
実施までの間、担当の先生方と何度も事前の打ち合わせを重ねました。
「生徒たちに今何を一番伝えたいのか」
「今の彼らに必要な刺激は何か」
根本となる目的設計から、当日の進行、グループワークの構成、運営方法に至るまで、丁寧に議論を重ねながら一つひとつ形にしていきました。
さらに当日に向けては、会場となる教室も訪問し、レイアウトや設備、動線といった部分の最終調整を先生方と行いました。
別府支社メンバー全員が学校側の熱い想いを胸に、それぞれの役割を分担し、サポート体制を整えて万全の準備で本授業に臨みました。
各グループにメンターとして入り、生徒一人ひとりの「気づき」と「挑戦」に伴走しながら、授業を進めていきました。
3. 稼ぐ力と機関車マインド
授業は、いきなり技術の話から始めたわけではありません。
まずは「働くとは何か?」という問いからスタートしました。
「食べるための仕事(ライスワーク)」
「夢や好きを追う仕事(ライフワーク)」
どちらが正しいという話ではありません。
大切なのは、これから社会に出ていく中で、そのバランスをどう考えるかです。
そして今回は、あえて一歩踏み込み、「稼ぐ力」という現実にも真正面から向き合いました。
データをもとに、「どの業界に身を置くかで生涯年収は大きく変わる」という事実を共有しました。
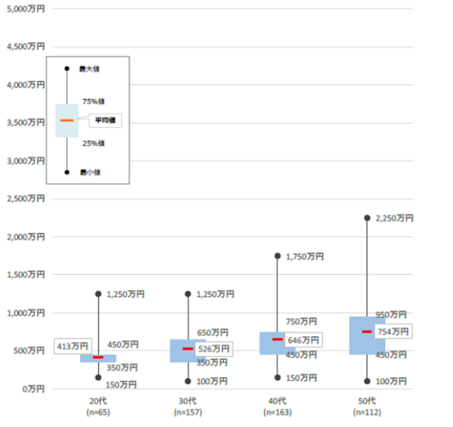
<参考>日本のIT人材の年代別の年収分布
出典:経済産業省「我が国におけるIT人材の動向」(2019年)
20代から50代までを対象としたITエンジニアの年収分布データを示しながら、IT業界は他職種と比較しても賃金水準が高い傾向にあることを可視化しました。
さらに、2030年には約79万人のIT人材が不足するという予測も紹介。
将来の需要と市場動向を踏まえながら、「社会から求められる分野で働くこと」の重要性についてお伝えしました。
「需要が高く、人手が足りない分野のスキルを持つ人こそ、市場価値が高まり、高い対価を得られる」
「好きだからやる」という情熱に加え、「社会から求められている場所で戦う」という戦略的な視点を持つことの重要性を伝えました。
しかし、IT業界は変化のスピードが非常に速い世界です。
今日の常識が、明日には通用しなくなることもあります。
近年では生成AIの進化も加速しており、コードを書く作業そのものは、ある程度AIが担える時代になりました。
いま問われているのは、「コードを書けること」そのものではなく、課題を定義し、AIを活用しながら最適な仕組みを設計できる力です。
だからこそ必要なのは、特定のスキルに固執することではなく、新しいものを取り入れ、自らをアップデートし続ける柔軟性。
そんな時代を生き抜くために、生徒たちへ贈った言葉があります。
「貨物車になるな、機関車になれ。」
実はこの言葉、私自身が大学を卒業して最初に入った会社の社長が、社員に向けてよく口にしていたものです。
当時、その言葉は私の心に深く刻まれ、今でも人生の指針になっています。
誰かに引っ張られるのを待つ「貨物車」ではなく、自ら考え、動力を持ち、変化に対応しながら前へ進む「機関車」のような人材であれ。
かつて私が受け取ったこの大切なメッセージを、次は大分の未来を担う高校生たちへ。そんな想いを込めて、バトンを渡しました。
4. コードを書かないプログラミング体験
マインドセットを共有した後は、思考のトレーニングへ。
今回は、いきなりコードを書くのではなく、タブレットの付箋機能を使った「アンプラグドプログラミング」に取り組みました。
なぜ、書かないのか。
それは、コードが書けなくても、「プログラミング思考」そのものを鍛えられるからです。
「目玉焼きを作る手順」や「入浴の手順」といった身近なテーマを付箋に書き出し、正しい順番に並べ替えるワークを実施しました。
※当日使用した資料
パズルのようにロジックを組み立てることで、頭の中はすでにプログラマー。
そんな感覚を体験してもらいました。
5. 学校の課題を見つけ出す
午後はいよいよ実践編。
まずは、自分たちが日々過ごしている学校生活を見つめ直すところからスタートしました。
目指したのは、単なる「不満探し」ではありません。
ビジネスの視点を取り入れ、課題を構造的に捉えることです。
まずは課題の言語化。
「提出物の期限を忘れてしまう」
「移動教室の準備が間に合わない」など、身近でリアルな困りごとを具体的に洗い出していきます。
次に、マーケティングの視点を加えました。
その課題は誰の課題か?(Target)
解決したら何人が喜ぶか?(Impact)
それは「自分だけの困りごと」なのか、それとも「多くの人が抱える課題」なのか。
この視点で整理することで、課題はアイデアの種へと変わります。
生徒たちはグループごとに活発な議論を交わしながら、学校生活に潜む「本質的な課題」を次々と発掘していきました。
6. ITで解決策を設計する
課題が明確になったら、次は「どうやってITで解決するか」を考える解決策立案のフェーズです。
ここでは、Vitalizeが実際の開発現場で用いているフレームワークをもとに、アイデアを具体的なアプリの仕様へと落とし込んでいきました。引き続きアンプラグド形式で、思考を整理していきます。
ただのアイデア出しで終わらせるのではなく、「開発者の視点」で仕組みを設計する。
システムを構造的に捉える難しさと面白さを、実践を通じて体感してもらう時間となりました。
授業の中では、難しさを感じる場面もありましたが、Vitalizeメンバーのサポートを受けながら、各グループでは活発な議論が続いていました。
7. 成果発表から見えた、高校生の本気
最終発表では、高校生ならではの着眼点に、ビジネス視点が組み合わさった鋭いアイデアが次々と飛び出しました。
例えば…
「先生の居場所検索アプリ」
課題提出の際、広い校内で先生を探す手間を省くアプリ。しかし彼らは「便利さ」だけで終わらせませんでした。
「個人情報の保護はどうするか?」議論を重ねた末、「先生が校内にいる間だけ位置情報を共有する」という制限機能を提案。
技術とプライバシーの両立という難しいテーマに、自然と踏み込んでいました。
「購買の事前予約・需要予測アプリ」
混雑緩和を目的としたアプリですが、視点は生徒側だけにとどまりません。
「事前注文が分かれば、廃棄ロスも減るのでは?」
運営企業側のメリットまで設計に組み込み、Win-Winの構造を描いていました。
その多角的な視点には、私たちも思わず唸らされました。
最後には、生徒たちのアイデアをもとに、生成AIを使って実際にアプリが動くまでの過程を実演。 「自分たちの考えが、今の技術ならすぐに形になる」というスピード感を肌で感じてもらいました。
8. 「また授業をしてほしい」という言葉を胸に
後日、担当の先生から生徒たちの感想をお寄せいただきました。 そこには、授業内容への理解だけでなく、「また授業をしてほしい」など、多くの嬉しい言葉が綴られていました。
準備も含めて全力で臨んだからこそ、生徒たちの感想の一つひとつが胸を打ち、メンバー一同「本当にやってよかった」と心からの喜びを感じました。 今回の授業が、生徒たちの将来の選択肢を広げ、ワクワクする未来を描くきっかけになれば、何よりの喜びです。
株式会社Vitalizeでは、今後も教育現場の皆様と連携し、「実学」としてのIT教育やキャリア教育を支援してまいります。
別府支社、そしてVitalizeのこれからの取り組みにも、ぜひご注目ください!